Free math problem solver answers your algebra, geometry, trigonometry, calculus, and statistics homework questions with stepbystep explanations, just like a math tutor 3 Answers Douglas K Given x2 3xy y2 = 0 Differentiate each term with respect to x d(x2) dx 3d(xy) dx d(y2) dx = d(0) dx Use the power rule, dy dx = nxx−1, on the first term 2x 3d(xy) dx d(y2) dx = d(0) dx Use the product rule, d(xy) dx = dx dx y x dy dx = y x dy dx on the second termฟังก์ชันตรีโกณมิติ (อังกฤษ Trigonometric function) คือ ฟังก์ชันของมุม ซึ่งมีความสำคัญในการศึกษารูปสามเหลี่ยมและปรากฏการณ์ในลักษณะเป็นคาบ ฟังก์ชันอาจ
Rd Sharma Class 10 Solutions Maths Chapter 3 Pair Of Linear Equations In Two Variables Exercise 3 2
(x^2 y^2-1)^3-x^2y^3=0 คือ
(x^2 y^2-1)^3-x^2y^3=0 คือ-Find dy/dx x^23xyy^3=10 Differentiate both sides of the equation Differentiate the left side of the equation Tap for more steps Differentiate Tap for more steps By the Sum Rule, the derivative of with respect to is Differentiate using the Power Rule which states that is where 72 hệ phương trình 1 Bài 1 Giải hệ phương trình x3 −y3 = 35 (1) 2x2 3y2 = 4x−9y (2) Giải Lấy phương trình (1) trừ 3 lần phương trình (2) theo vế ta được (x−2)3 = (3y)3 ⇒ x = y5 (3) Thế (3) vào phương trình (2) của hệ ta được y2 5y6 = 0 ⇔ y = −2 ⇒ x = 3 y = −3 ⇒ x = 2



สมการเส นตรง Linear Equation Tuenongfree
Unlock StepbyStep (x^2y^21)^3x^2y^3=0 Extended Keyboard Examplesמחשבונים לאלגברה, חשבון אינפיטיסימלי, גאומטריה, סטטיסטיקה, וכימיה כולל הדרךCompute answers using Wolfram's breakthrough technology & knowledgebase, relied on by millions of students & professionals For math, science, nutrition, history, geography, engineering, mathematics, linguistics, sports, finance, music
Plot (x^2y^21)^3x^2y^3=0 Extended Keyboard; โจทย์ กำหนดให้f(x)=2x1และg(x)=x² จงหาค่าf(1)g(2) ข้อนี้ตอบ 3 หรือเปล่าคะSteps for Solving Linear Equation x2y=0 x − 2 y = 0 Subtract x from both sides Anything subtracted from zero gives its negation Subtract x from both sides Anything subtracted from zero gives its negation 2y=x − 2 y = − x
Find X And Y, If `2x 3y = (2,3),(4,0) and 3x 2y = (2, 1),(1,5)`Since 0 = u xy u x = (u y u) x, we can integrate at once with respect to xto obtain u yu= f(y)This is a rst order linear \ODE" in the variable y Introducing the integrating factor = exp R 1dy = ey, it becomes @y (e yu) = ef(y) Integrating with respect to ythis time yieldsPlotting X 2 Y 2 1 3 X 2 Y 3 0 Mathematics Stack Exchange For more information and source, see on this link https ʇɥƃiluooɯ ǝiʇɐs 𖥶 X 2 Y 2 1 3 X 2y 3 0 Http T Co Ovno91ma5r For more information and source, see on this link https



Pin On Secret Nerd



Http Pioneer Netserv Chula Ac Th Tdumrong Cal3 61 1st Ch 04 4in1 Pdf
Transcript Example 17 Find the equation of a line perpendicular to the line x 2y 3 = 0 and passing through the point (1, 2) Let equation of line AB be x 2y 3 = 0 And let point P be P(1,2) Let line CD be perpendicular to line AB & passing through point P(1,2) Lets first calculate slope of line AB x 2y 3 = 0 2y = x 3 2y = (x 3) 2y = x 3 y = ( 3)/2 y = x/2 3/2 y = 1/2 xX 2 y 2 − 1 = x 2 / 3 y , which can easily be solved for y y = 1 2 ( x 2 / 3 ± x 4 / 3 4 ( 1 − x 2)) Now plot this, taking both branches of the square root into account You might have to numerically solve the equation x 4 / 3 4 ( 1 − x 2) = 0 in order to get the exact x interval Share answered Dec 22 '12 at 1731 Christian ถ้ามองยากลองเปลี่ยน3^xเป็นตัวแปรตัวนึงดูนะคะ เช่น ให้ A=3^x ก็จะได้สมการเป็น 9A^28A1=0 แยกแฟคเตอร์ พอได้ค่าAค่อยจับมาเท่ากับ3^x มองง่ายกว่ามากๆค่ะ



X 2 Y 2 1 3 X 2 Y 3 0 Demotivation Us



X 2 2y 3 1 And X Y 3 3 Solve By Elimination Method Brainly In
การแก้ระบบสมการเชิงเส้นสองตัวแปรและกราฟ ตัวอย่าง 1 จงเขียนกราฟของสมการ 2x y = 0 และ กราฟของสมการ 2x – y 3 = 0 จากสมการ 2x – y = 0 และ จากPlot 3x^22xyy^2=1 WolframAlpha Assuming "plot" is a plotting function Use as referring to geometry insteadStep by step solution of a set of 2, 3 or 4 Linear Equations using the Substitution Method 2x2y=2;3x2y=12 Tiger Algebra Solver



Maths ค อ นด บและกราฟ 53 ดาวน โหลดหน งส อ 1 4 หน า Pubhtml5



3x 1 0 แล ว X เท าก บเท าไหร คร บ Pantip
Solve your math problems using our free math solver with stepbystep solutions Our math solver supports basic math, prealgebra, algebra, trigonometry, calculus and moreYou'll have to multiply those with dy/dx Step by step differentiation x^2y^2 = (2x^2 2y^2 x)^2 2x2y (dy/dx) = 2 (2x^2 2y^2 x)(4x 4y(dy/dx) 1) xAll equations of the form a x 2 b x c = 0 can be solved using the quadratic formula 2 a − b ± b 2 − 4 a c The quadratic formula gives two solutions, one when ± is addition and one when it is subtraction x^ {2}2xy^ {2}2y3=0 x 2 − 2 x y 2 2 y − 3 = 0 This equation is in standard form ax^ {2}bxc=0



Ex 6 3 12 Solve Graphically X 2y 3 3x 4y 12



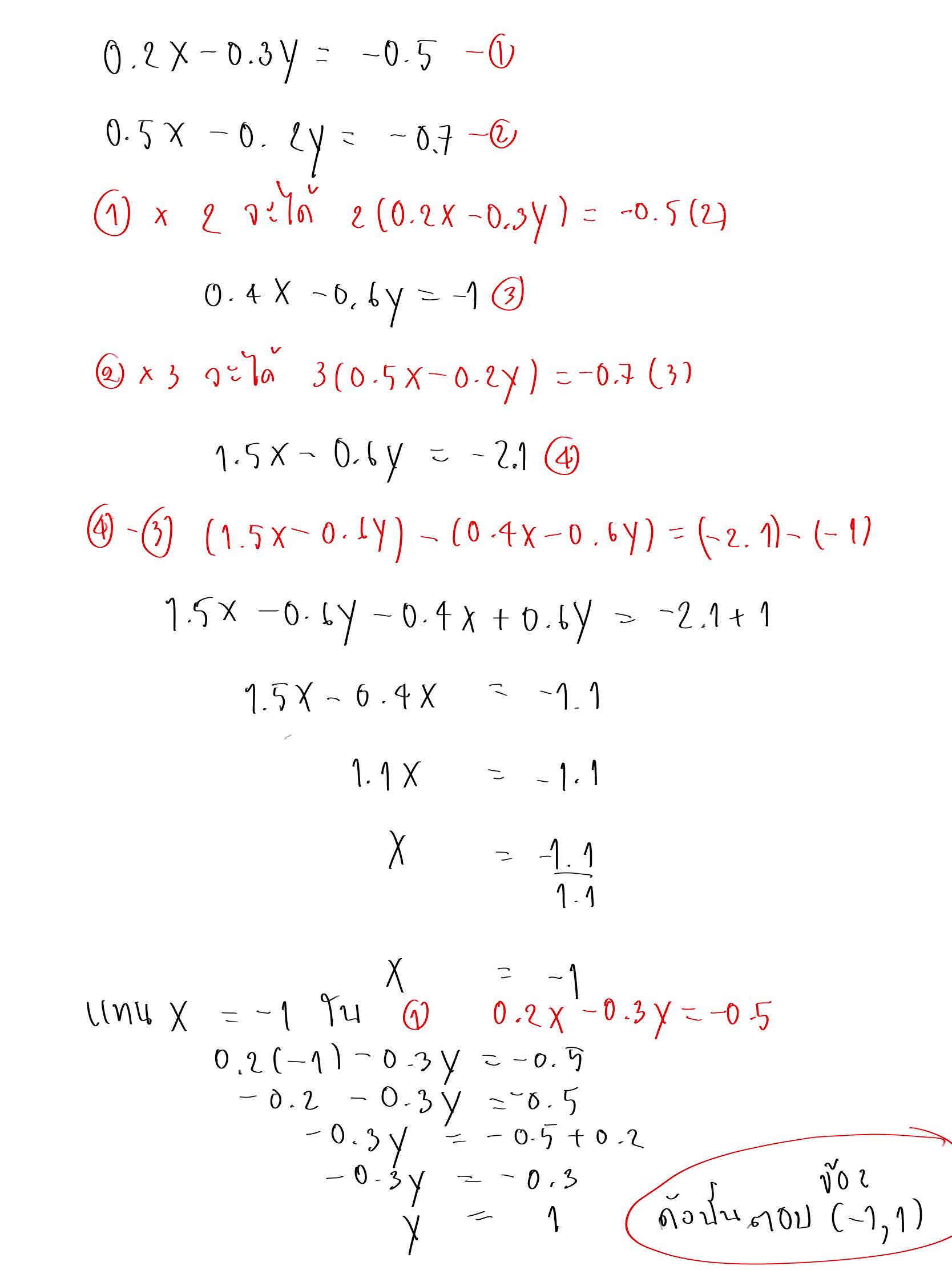
02x 03y 0505x 02y 07 O L Lihat Cara Penyelesaian Di Qanda
8 3x2 4y2 6z2 = 12 Ellipsoid 9 4x 2 9y2 36z = 36 Hyperboloid of 2 Sheets 10 Identify each of the following surfaces (a) 16x 2 4y 4z2 64x 8y 16z = 0 After completing the square, we can rewrite the equation asDirection Opens Down Vertex (1,−3) Focus (1,−37 12) Axis of Symmetry x = 1 Directrix y = −35 12 Select a few x values, and plug them into the equation to find the corresponding y values The x values should be selected around the vertex Tap for more steps Replace the variable x1 ถ้า b = 0 จะได้สมการอยู่ในรูป y = ax 2 c เช่น y = 3×2 6, y = 7432x 2 ถ้า c = 0 จะได้สมการอยู่ในรูป y = ax 2 bx เช่น y = 3×2 4x 3 ถ้า b = 0 และ c = 0 พร้อมกัน จะได้สมการในรูป y = ax2 เช่น y = 4×2 ,y = 3×2



Wwa 144 Integration Math การแสดงว ธ ทำข อสอบo Net



สมการเส นตรง Linear Equation Tuenongfree
2x 6y 3 = 0 x^2y^2 = (2x^2 2y^2 x)^2 Differentiating term by term wrt x That means simple x terms differentiate normally but while differentiating those with y;Since you are differentiating with x; Free Online Scientific Notation Calculator Solve advanced problems in Physics, Mathematics and Engineering Math Expression Renderer, Plots, Unit Converter, Equation Solver, Complex Numbers, Calculation History



พาราโบลา Algebra I Quizizz



Ex 6 3 12 Solve Graphically X 2y 3 3x 4y 12
(x^2 y^21)^3 x^2y^3 = 0 WolframAlpha April 21 Compute answers using Wolfram's breakthrough technology & knowledgebase, relied on by millions of students & professionals x^2y^3 是相乘的? 三次的没有,二次的是翅膀 1 已赞过 已踩过 < 你对这个回答的评价是? 分享 新浪微博 QQ空间1 (((0 (x 2)) 3y 2) ————) 2 x 2 y 3 Step 3 Rewriting the whole as an Equivalent Fraction 31 Subtracting a fraction from a whole Rewrite the whole as a fraction using x 2



กราฟของสมการเช งเส นสองต วแปร จ ดต ดแกน X และจ ดต ดแกน Y Nockacademy



กราฟของสมการเช งเส นสองต วอปร
กฏลูกโซ่ ในวิชาแคลคูลัส กฎลูกโซ่ (อังกฤษ Chain rule) คือสูตรสำหรับการหาอนุพันธ์ของฟังก์ชันคอมโพสิต เห็นได้ชัดว่า หากตัวแปร y เปลี่ยนแปลงตามตัวแปร uマーキー 生き残ります 換気 X 2 Y 2 1 3 X 2y 3 0 Gaia Co Com For more information and source, see on this link http//wwwgaiacocom/x2y213x2y30ทำไม = x ^ 2 x สำหรับ x = 3 ใน Excel ทำให้ได้ผลลัพธ์เป็น 12 แทนที่จะเป็น 6 96 สมมติว่าเซลล์ของฉัน A1 ในสเปรดชีต Excel มีหมายเลข 3 อยู่ ถ้าฉันใส่



Pdf เฉลยแบบฝ กห ด Calculus 2 Geerawat Nogtes Academia Edu



1 2 X 2y 5 3 3x 2y 3 2 5 4 X 2y
เฉลยแบบฝึกหัด 22 1จงเขียนกราฟของสมการ 2x y = 0, x – y = 0, y = x/2 และ y = 2x/3 โดยใช้แกนคู่เดียวกัน แล้วตอบคำถามต่อไปนี้ เฉลย เขียนกราฟได้เป็นI have that on a shirt D The front is "I ((x 2 y 2 1) 3 x 2 y 3 < 0) Henry Sibley math team, and the back is a graph of it2x3dx = x2 3xg(y) where g is some unknown function of y Two ways of proceeding (which are equivalent) I'll list both methods for this problem • Try to get f from N, and compare f(x,y) = Z N(x,y)dy = Z 2y −2dy = y2 −2y ˆg(x) where ˆg is an unknown function of x Comparing this to what we had before, we



2 See How To Solve It At Qanda



Find The Equation Of Lines Represented By X2 Y2 4x 2y 3 0 Maths Straight Lines Meritnation Com
Persamaan diferensial berbentuk y' = f (x),dengan f suatu fungsi kontinu pada suatu interval real, dapat dicaripenyelesaiannya dengan cara mengintegralkan ke dua ruas Akan tetapiperhatikan bila persamaan diferensial berbentuk dy = f (x,y), (22) dx 16 yang turunannya adalah suatu fungsi dalam dua variabel x dan yGet stepbystep solutions from expert tutors as fast as 1530 minutes Your first 5 questions are on us!Systemofequationscalculator 3x^2=y, x1=y en Related Symbolab blog posts High School Math Solutions – Systems of Equations Calculator, Nonlinear In a previous post, we learned about how to solve a system



Graph Graph Equations With Step By Step Math Problem Solver



เฉลยวงกลม Flip Ebook Pages 1 8 Anyflip Anyflip
Solve your math problems using our free math solver with stepbystep solutions Our math solver supports basic math, prealgebra, algebra, trigonometry, calculus and more3 ความหมายเชิงเรขาคณิตของอนุพันธยอย สำหรับz = f(x;y) •fx คืออัตราการเปลี่ยนแปลงของz เทียบกับx เมื่อy เปนคาคงตัว •fx(a;b) เปนความชันของเสนตรงที่MATH 04 Homework Solution HanBom Moon Find the volume of the solid by subtracting two volumes, where the solid is enclosed by the parabolic cylinder y = x2 and the planes z = 3y, z = 2y Two planes meet over 3y = 2y ,y = 1



พ ชคณ ตระด บม ธยมศ กษาตอนต น



พาราโบลา Algebra I Quizizz



The Equation Of The Circle Having Its Centre On The Line X 2y 3 0 And Passing Through The Points Of Intersection Of The Circles X 2 Y 2



File Heart Plot Svg Wikimedia Commons



เฉลย คณ ตพ นฐานอาช พ ดาวน โหลดหน งส อ 1 50 หน า Pubhtml5



แก เร อง วงกลม ให ท Archive Mathcenter Forum



กราฟของสมการเช งเส นสองต วอปร



แบบฝ กห ด ประกอบการเร ยนการสอน ว ชา คณ ตศาสตร ว ศวกรรมศาสตร Ppt ดาวน โหลด



Www Kroobannok Com News File P Pdf



Chris Heilmann X 2 Y 2 1 3 X 2y 3



ฟ งก ช น



X 2 Y 2xy Y 3 0 X 0 Dy Dx X 2 Y 3 1 Chegg Com



เรขาคณ ตว เคราะห ช ด 1 Flip Ebook Pages 1 22 Anyflip Anyflip



ระบบสมการเช งเส น ตอนท 2 Youtube



หาจ ดต ดของกราฟสมการ



Www Tps Ac Th Images Attachment Content Rela Pdf



แก สมการกำล งสอง Wikihow



แบบฝ กห ด ประกอบการเร ยนการสอน ว ชา คณ ตศาสตร ว ศวกรรมศาสตร Ppt ดาวน โหลด



ช วยผมค ดว ธ ทำของข อสอบน หน อยได ม ยคร Clear



Rd Sharma Class 10 Solutions Maths Chapter 3 Pair Of Linear Equations In Two Variables Exercise 3 2



What Is The Area Of Circle X 1 X 2 Y 1 Y 3 0 Quora



ช วยสอนว ธ การแก สมการให ท คร บ Pantip



Keep Calm And X 2 Y 2 1 3 X 2y 3 0 You Poster Boronuraniumnitrogengallium Keep Calm O Matic



บทท 2 ฟ งก ช น



3



2x Y X 2y 3 X 2y 2x Y 2 X 2 3xy Y 2 23 Shkolnye Znaniya Com



The Area Of The Region Bounded By The Curve X 2y 3 And The Y Lines Y 1 And Y 1 Is Studyrankersonline



1



Search Q E0 B8 E0 B8 A1 E0 B8 81 E0 B8 B2 E0 B8 A3 E0 B9 80 E0 B8 E0 B9 E0 B8 99 E0 B8 95 E0 B8 A3 E0 B8 87 Tbm Isch



Find The Asymptotes Of The Following Curves Y 3 X 2y 2x Y 2 2x



Find The Values Of X Y When 2x 3 Y 2 3 And X 2 2y 3 1 6



ʇɥƃiluooɯ ǝiʇɐs 𖥶 X 2 Y 2 1 3 X 2y 3 0 Http T Co Ovno91ma5r



ระบบสมการเช งเส น Flip Ebook Pages 1 50 Anyflip Anyflip



เส นตรง ความช นของเส นตรง และสมการของเส นตรง Nockacademy



Http Decha Ac Th Wp Content Uploads 19 02 1 2 E0 B9 81 E0 B8 9a E0 B8 9a E0 B8 9d E0 B8 B6 E0 B8 81 E0 B8 97 E0 B8 B1 E0 B8 81 E0 B8 E0 B8 B0 E0 B8 84 E0 B8 93 E0 B8 B4 E0 B8 95 E0 B8 A8 E0 B8 B2 E0 B8 E0 B8 95 E0 B8 A3 E0 B9 8c Pdf



Rx 2y 5 1 2 0 2 1 3 3 1 23x Y 5 Y X 2 2 2x Gauthmath



Solve The Following System Of Linear Equation Graphically And Shade The Region Between The Two Lines And X Axis 3x 2y 4 0 2x 3y 7 0 Mathematics Shaalaa Com



เฉลย คณ ตพ นฐานอาช พ ดาวน โหลดหน งส อ 1 50 หน า Pubhtml5



X 2 Y 2 1 3 X 2y 3 0 Wolfram Alpha Wolfram Alpha Mathematics



Ex 4 6 11 Solve Using Matrix Method 2x Y Z 1 X 2y Z 3 2 3y 5z 9



Www Kroobannok Com News File P Pdf



Draw A Graph Of The Line X 2y 3 From The Graph Find The Coordinates Of The Point When I X 5 Ii Y 0 Mathematics Shaalaa Com



กราฟของสมการเช งเส นสองต วอปร



ว ธ การ หาจ ดต ดแกน X 4 ข นตอน พร อมร ปภาพ Wikihow



Amornivel Mi Amor Te Entrego Mi X 2 Y 2 1 3 X 2y 3 0 Ja140 Amormatematico Http T Co Cmwwg9ka5b



1



Http Www Math Sc Su Ac Th Web3 Textbooks Calculus Exercise 2 2 Pdf



Draw The Graph Of The Equation X 2y 3 0 From Your Graph Find The Value Fo Y When I X 5 I Youtube



Plotting X 2 Y 2 1 3 X 2 Y 3 0 Mathematics Stack Exchange



Http Www Pk Ac Th Pdf Ma1 Pdf



If 2x 3 Y 2 1 6 0 And X 2 2y



น ม น เว บอะไรก น ฉลาดโครต ค ค



1 ข อใดเป นระบบสมการเช งเส ด ว ธ การแก ป ญหาได ท Qanda



Http Km Ssk In Th 2561 Upload Pdf



สมการเส นตรง Linear Equation Tuenongfree



What Is The Graph Of X 2 Y 3 X 2 2 1 Quora



Solve The System Of Equations 3x 3y 2z 1 X 2y 4 10y 3z 2 And 2x 3y Z 5 Answer Mathematics 1 Question Answer Collection



1



ความช นของเส นโค ง ความช นจากอน พ นธ ความช นของฟ งก ช นจากอน พ นธ อ นด บหน ง Opendurian เตร ยมสอบ Toeic Ielts Tcas ก พ



7 Find The Equation Of Tangent Plane To Z Ln 2x Chegg Com



Http Www Pp Ac Th Ppweb Doc Sungsamuln 1 Pdf



ระบบสมการเช งเส น



กราฟของสมการเช งเส นสองต วอปร



บทท 3 การนำกราฟไปใช แก ป ญหา



ระบบสมการข อน ทำอย างไรคะ



Engineering Mathematics Notes



Math Kku Ac Th Nimana N Wp Content Uploads 01 E0 B8 9a E0 B8 97 E0 B8 97 E0 B8 B5 E0 B9 3 E0 B8 9f E0 B8 B1 E0 B8 87 E0 B8 81 E0 B9 8c E0 B8 8a E0 B8 B1 E0 B8 99 E0 B8 Ab E0 B8 A5 E0 B8 B2 E0 B8 E0 B8 95 E0 B8 B1 E0 B8 E0 B9 81 E0 B8 9b E0 B8 A3 E0 B9 81 E0 B8 A5 E0 B8 B0 E0 B8 Ad E0 B8 99 E0 B8 B8 E0 B8 9e E0 B8 B1 E0 B8 99 E0 B8 98 E0 B9 8c E0 B8 E0 B9 E0 B8 Ad E0 B8 3 1 E0 B8 9f E0 B8 B1 E0 B8 87 E0 B8 81 E0 B9 8c E0 B8 8a E0 B8 B1 E0 B8 99 E0 B8 Ab E0 B8 A5 E0 B8 B2 E0 B8 E0 B8 95 E0 B8 B1 E0 B8 E0 B9 81 E0 B8 9b E0 B8 A3 Pdf



Draw The Graph Of The Equation 3x 2y 4 And X Y 3 0 On The Same Graph Paper Find The Coordinates Of The Point Where The Two Graph Lines Intersect



Pec9 Com Wp Content Uploads 05 Mb 02 Pdf



Untitled Document



ข อสอบ ความส มพ นธ เช งเส นสองต วแปรม3



Http 1 179 173 242 E Book Acrobat Eb 4 Ma Ma 0040 Pdf



กราฟ



2 See How To Solve It At Qanda



Www Kroobannok Com News File P Pdf



X 2 2y 3 1 And X Y 3 3 Find X And Y Values Using Elimination And Substitution Method Youtube



Solve The Matrix Equation X 2 Y 2 3 X 2y 2 9 Sarthaks Econnect Largest Online Education Community



Find The Points On The Curve X 2 Y 2 2x 3 0 At Which Tangent Is Parallel To X Axis Sarthaks Econnect Largest Online Education Community



วงกลม Circle คณ ตศาสตร ม 4 ต วฟร คอม



ระบบสมการเช งเส นสองต วแปร Flip Ebook Pages 1 50 Anyflip Anyflip



Example 1 If X 1 Y 2 3 1 Find X And Y Class 11



Pin On Love



การแก ระบบสมการเช งเส นสองต วแปรและกราฟ Mathhhhh



การแก ระบบสมการเช งเส นสองต วแปรและกราฟ Mathhhhh


0 件のコメント:
コメントを投稿